- What is sample size?
- What data do you need to calculate survey sample size?
- How can you calculate the sample size?
- What counts as a good sample size?
- What is considered a large sample size?
- How does sample size vary by survey type?
- What are the best practices for choosing a sample size?
- What are the common mistakes to avoid while calculating the sample size?
What is sample size?
The Sample size is the number of people you survey to gather data that reflects your total population. For example, if you want to study the eating habits of 10,000 people , you can survey a 500 of them. Their responses will provide insights to draw a conclusion about the entire population of your study.
What data do you need to calculate survey sample size?
You need some key components to calculate your sample size.
Population size
It refers to the total number of people in the group you are planning to study. For instance, If you are surveying students in a school, your population size is the total number of students in that school.
Margin of error
Since we are surveying only a small group instead of the entire population, there will always be some difference between the survey results and the actual population data. This difference is called the margin of error. A smaller margin of error means higher accuracy, but achieving that requires surveying more people.
Confidence level
Confidence level tells you how sure you can be that your survey results are accurate and represent the whole population within a certain range.
Confidence interval
Confidence interval tells you the range in which the true value of the entire population is likely to fall. It provides an upper and lower limit.
Standard deviation
Standard deviation tells you how consistent or scattered the responses are.
- If it’s low, most people gave similar answers.
- If it’s high, the responses are all over the place.
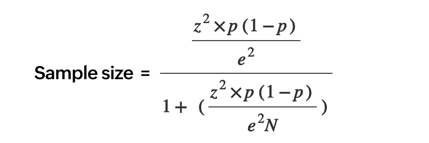
How can you calculate the sample size?
To figure out how many people you need to survey, you can use the following formula.

- Example questions
- N = Total population size
- z = z-score (based on confidence level)
- p = estimated population proportion
- e = margin of error (decimal form)
The z-score shows how confident you want to be that your survey results represent the true population.It tells you how far your result can vary from the average while still being considered reliable.
To choose the right z-score, you simply look at your desired confidence level in a standard table.
| Confidence Level | Z-score |
|---|---|
| 80% | 1.28 |
| 85% | 1.44 |
| 90% | 1.65 |
| 95% | 1.96 |
| 99% | 2.58 |
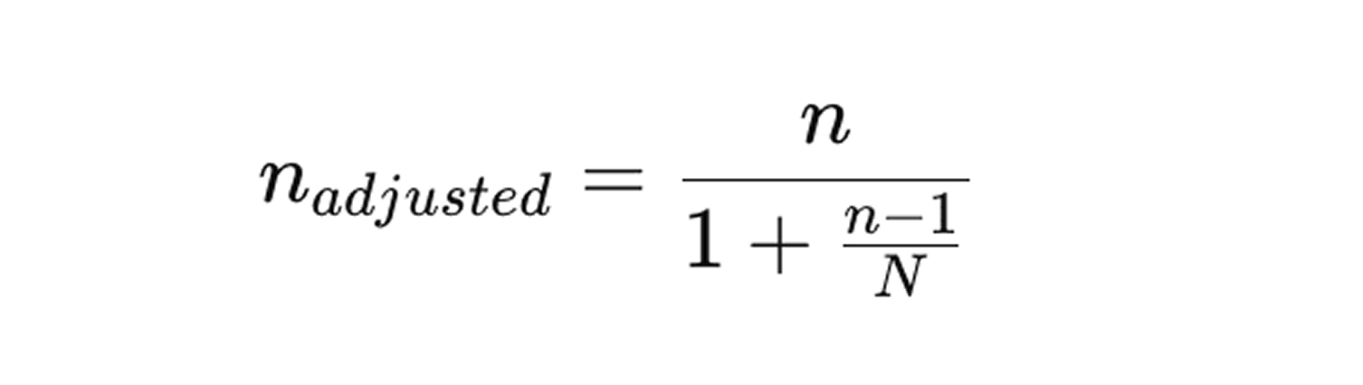
For Small Groups:
If your total population is small, adjust the sample size using:
N adjusted=1+Nn−1n

Where N = total population.
Tip: Instead of doing manual calculations, you can use Zoho Survey's sample size calculator to get accurate results instantly!
Real world examples
Example 1E-commerce Customer Satisfaction Survey
Lets say you run an online store with 120,000 customers.
You want to measure satisfaction with:
- 95% confidence level
- 5% margin of error
Since the population is large, the sample size comes out to:
Required sample size = 383 respondents
Even though you have 120,000 customers, you don’t need to survey all of them. Around 383 responses will statistically represent the whole group with strong accuracy.
That’s the power of sampling.
University Feedback Survey
A university department has 850 students.
They want to evaluate a new curriculum using:
- 95% confidence level
- 5% margin of error
Because the population is smaller, we apply the finite population correction.
Required sample size = 265 students
What counts as a good sample size?
Your survey’s sample size depends on your study’s objective and the population you are surveying. Some surveys, like product satisfaction surveys, which may only need a small group of users, market research studies require a well-balanced sample to reflect broader consumer trends accurately.
Here’s how each value can influence your survey results :
| Survey element | Value increased | Value decreased |
|---|---|---|
| Population Size | Accuracy decreases | Accuracy increases |
| Sample Size | Accuracy increases | Accuracy decreases |
| Confidence level | Accuracy increases | Accuracy decreases |
| Margin of error | Accuracy increases | Accuracy decreases |
What is considered a large sample size?
There is no fixed rule for what counts as a large sample size. It depends on the study’s purpose, field, and type of analysis.A large sample size helps detect patterns and ensures reliable results. Often, a few hundred or more is considered large, but this varies.Researchers choose sample sizes based on factors like accuracy needs, available resources, and the complexity of the population. Studies on diverse groups or rare conditions often need larger samples to be accurate.
How does sample size vary by survey type?
The required sample size depends on the survey's purpose and the population it aims to represent. Some surveys can rely on a small group, while others need a larger, more diverse sample for accuracy.
Here is a list of typical sample sizes used for various types of surveys.
| Survey Type | Typical Sample Size | Why? |
|---|---|---|
| Public Opinion Polls | 1,000 - 2,000 | To represent a large population with ±3% margin of error. |
| Market Research Surveys | 400 - 1,500 | To understand customer preferences and trends. |
| Employee Engagement Surveys | 10 - 30% of workforce | To guage workplace satisfaction across departments. |
| Medical & Clinical Studies | 100 - 10,000+ | Depends on the trial phase and the disease being studied. |
| A/B Testing (Marketing) | 100 - 500 per group | To compare effectiveness of different strategies |
| Social Science Research | 300 - 1,000 | To study behavioural patterns across diverse groups. |
| Customer Satisfaction Surveys | 100 - 500 | A smaller sample can provide useful insights. |
| Experimental Research | 30 - 300 | Based on the need for statistical significance. |
What are the best practices for choosing a sample size?
Decide how you will use the results
Before determining your sample size, define your survey’s purpose.Knowing this helps you determine how many responses you need for reliable insights. If your goal is to identify trends, a smaller sample might work. If you need precise data to make big decisions, a larger sample is necessary.
Stay within time and budget limits
Larger sample sizes improve accuracy, but they also require more time, money, and effort. If your budget is limited, consider a balanced approach—choosing a sample size that provides meaningful results without unnecessary expenses.
Dont forget to have a balanced sample
Your sample should represent the full diversity of the population you’re studying. Using random sampling (where everyone has an equal chance of being selected) helps avoid bias. If you need responses from different subgroups (e.g., different age groups, locations, or job roles), stratified sampling ensures fair representation of each group.
Test your survey first
Before launching your survey, conduct a pilot test with a small group. This helps identify unclear questions, technical issues, or areas where respondents struggle. Testing ensures a smooth experience for participants and improves the quality of responses when the full survey goes live.
What are the common mistakes to avoid while calculating the sample size?
Choosing a sample that’s too small
A small sample may not represent the entire population, leading to inaccurate or misleading results.
Using a sample that’s too large
While bigger samples improve accuracy, they can waste time and resources if more data isn’t necessary.
Not considering population diversity
A sample should reflect key characteristics of the population. Avoid bias by using random or stratified sampling.
Setting the wrong confidence level & margin of error
A 95% confidence level and ±3–5% margin of error are standard for reliable results. Choosing incorrect values can lead to weak conclusions.

Reach your target audience with Zoho Survey
Zoho Survey helps you connect with your ideal respondents through the Zoho Survey Research Panel. Whether you need a small, focused group or a large, diverse sample, Zoho Survey makes it easy to get accurate responses fast.